統計検定1級で統計数理と統計応用の共通問題そして、人文科学でのメインテーマである多変量解析について『データ解析のための数理統計入門』を通して学習します。
本書最後に掲載のEMアルゴリズムはとても難易度が高く今回は割愛させていただきました。
データ解析のための数理統計入門の第17章『多変量解析手法』の例題と解説
主成分分析と判別分析を特に多く取り上げています。ついで因子分析が多めです。クラスター分析は最後の演習問題にて実践形式で触れていきます。
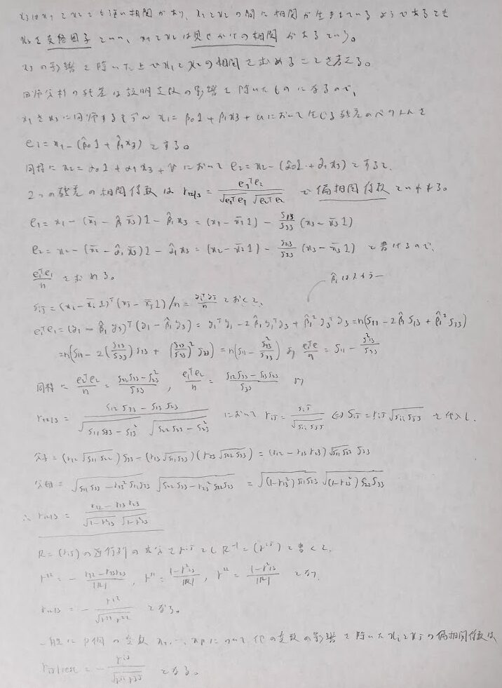
標本相関行列と偏相関係数
多変量解析を行うための行列表現に慣れます。そして標本相関行列の導出を行います。

偏相関係数は統計検定準1級以下でも出題されますが、実はその導き方は回帰分析が絡んでいます。統計検定1級で狙われそうですのでまとめておきます。

主成分分析
QC検定1級でメインを張るほどの超頻出テーマです。統計検定1級ではこの内容をゼロから自力で書けるようにしておきたいところです。

判別分析
統計検定1級では2025年の試験直前の現在、出題が下火になっている分野です。そのため出題されたら確実に部分点をとっておきたい分野です。

コストという概念は見逃しがちです。しっかりとおさえましょう。また事前分布も、特に断りがない場合は同じと考えて良さそうです。

2次判別関数はマハラノビスの2乗との関係、線形判別関数は平均が絡むことも抑えておきたいですね。

ロジスティック判別はノンパラメトリックに近い場面で役に立ちます。しかし分布が判明している場合は、それ以外の方法の方が精度が良いです。
因子分析
因子分析は統計検定1級で頻出です。しかし深くなればなるほど難易度が上がります。本記事ではコアな部分のみを追っています。

データ解析のための数理統計入門の第17章『多変量解析手法』の演習問題
問1:偏相関係数

問2:主成分分析

問3:主成分分析

問4:判別分析

問5:判別分析

問6:因子分析

問7:クラスター分析

以上で『データ解析のための数理統計入門』の章を全て終了しました。2024年の統計検定1級を終えてから記事を書き始めて2025年の統計検定1級の受験直前日にようやく完成しました。
今回、そしてこれから受験する皆様のご武運をお祈りします!





